Официальное опубликование правовых актов
ОФИЦИАЛЬНОЕ ОПУБЛИКОВАНИЕ
Распоряжение Комитета по печати и взаимодействию со средствами массовой информации Санкт-Петербурга от 05.02.2020 № 2-р
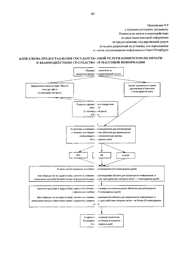
"Об утверждении Административного регламента Комитета по печати и взаимодействию со средствами массовой информации по предоставлению государственной услуги по выдаче разрешений на установку и эксплуатацию объектов для размещения информации в Санкт-Петербурге"
Номер опубликования: 7801202002130003
Дата опубликования: 13.02.2020
Страница №42 из 45:
Увеличить