Официальное опубликование правовых актов
ОФИЦИАЛЬНОЕ ОПУБЛИКОВАНИЕ
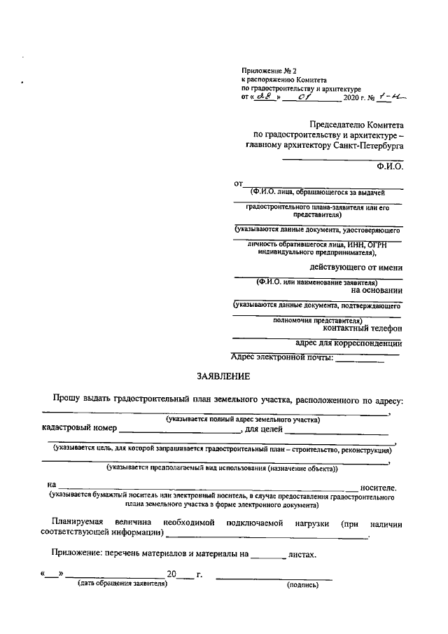
Распоряжение Комитета по градостроительству и архитектуре Санкт-Петербурга от 28.01.2020 № 1-н
"О внесении изменений в распоряжение Комитета по градостроительству и архитектуре от 15.09.2017 № 16-н"
Номер опубликования: 7801202002060007
Дата опубликования: 06.02.2020
Страница №8 из 9:
Увеличить