Официальное опубликование правовых актов
ОФИЦИАЛЬНОЕ ОПУБЛИКОВАНИЕ
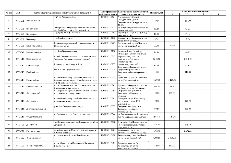
Распоряжение Комитета по благоустройству Санкт-Петербурга от 21.01.2020 № 7-р
"Об утверждении перечня территорий зеленых насаждений, выполняющих специальные функции (в части уличного озеленения), на 2020 год"
Номер опубликования: 7801202001220001
Дата опубликования: 22.01.2020
Страница №123 из 128:
Увеличить