Официальное опубликование правовых актов
ОФИЦИАЛЬНОЕ ОПУБЛИКОВАНИЕ
Распоряжение Комитета по экономической политике и стратегическому планированию Санкт-Петербурга от 13.12.2019 № 290-р
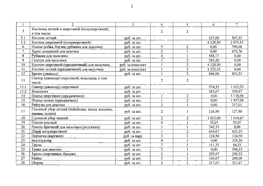
"Об утверждении нормативов финансовых затрат бюджета Санкт-Петербурга на возмещение полной стоимости питания, комплекта одежды, обуви, мягкого инвентаря и оборудования лицам из числа детей-сирот и детей, оставшихся без попечения родителей, лицам, потерявшим в период обучения обоих родителей или единственного родителя, обучающимся по очной форме обучения в государственных образовательных учреждениях, реализующих основные профессиональные образовательные программы и(или) программы профессиональной подготовки по профессиям рабочих, должностям служащих, за исключением лиц, которым предоставлено полное государственное обеспечение на период их обучения в государственных образовательных учреждениях, реализующих основные профессиональные образовательные программы и(или) программы профессиональной подготовки по профессиям рабочих, должностям служащих, на 2020 год"
Номер опубликования: 7801201912200020
Дата опубликования: 20.12.2019
Страница №4 из 6:
Увеличить