Официальное опубликование правовых актов
ОФИЦИАЛЬНОЕ ОПУБЛИКОВАНИЕ
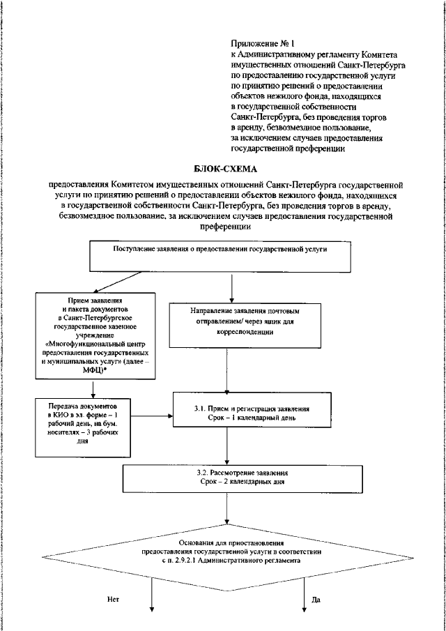
Распоряжение Комитета имущественных отношений Санкт-Петербурга от 04.09.2019 № 156-р
"Об утверждении Административного регламента Комитета имущественных отношений Санкт-Петербурга по предоставлению государственной услуги по принятию решений о предоставлении объектов нежилого фонда, находящихся в государственной собственности Санкт-Петербурга, без проведения торгов в аренду, безвозмездное пользование, за исключением случаев предоставления государственной преференции"
Номер опубликования: 7801201909130007
Дата опубликования: 13.09.2019
Страница №37 из 147:
Увеличить