Официальное опубликование правовых актов
ОФИЦИАЛЬНОЕ ОПУБЛИКОВАНИЕ
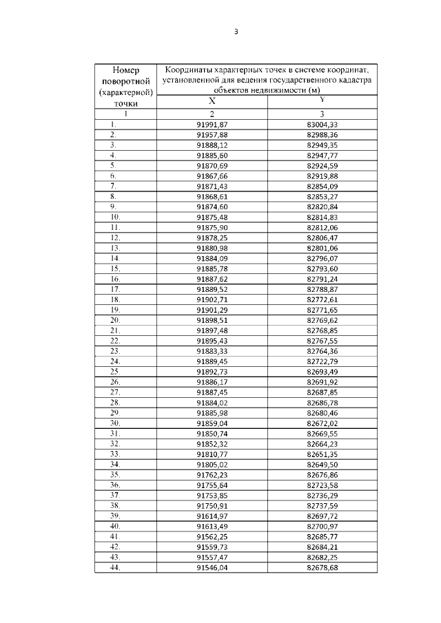
Распоряжение Комитета по государственному контролю, использованию и охране памятников истории и культуры Санкт-Петербурга от 19.08.2019 № 504-р
"Об утверждении границ и режима использования территории объекта культурного наследия федерального значения "Дворцово-парковый ансамбль Верхнего парка и Нижнего сада"
Номер опубликования: 7801201908220002
Дата опубликования: 22.08.2019
Страница №5 из 22:
Увеличить