Официальное опубликование правовых актов
ОФИЦИАЛЬНОЕ ОПУБЛИКОВАНИЕ
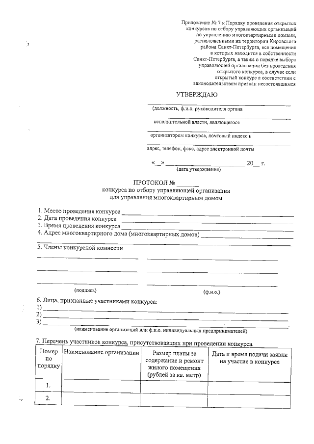
Распоряжение Администрации Кировского района Санкт-Петербурга от 09.08.2019 № 3613-р
"Об утверждении Порядка проведения открытых конкурсов по отбору управляющих организаций для управления многоквартирными домами, расположенными на территории Кировского района Санкт-Петербурга, все помещения в которых находятся в собственности Санкт-Петербурга, а также о Порядке выбора управляющей организации без проведения открытого конкурса, в случае, если открытый конкурс в соответствии с законодательством признан несостоявшимся"
Номер опубликования: 7801201908190001
Дата опубликования: 19.08.2019
Страница №31 из 32:
Увеличить