Официальное опубликование правовых актов
ОФИЦИАЛЬНОЕ ОПУБЛИКОВАНИЕ
Распоряжение Комитета имущественных отношений Санкт-Петербурга от 30.07.2019 № 123-р
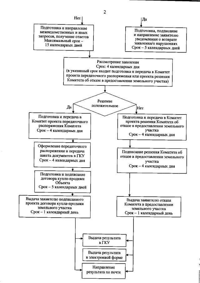
"Об утверждении Административного регламента Комитета имущественных отношений Санкт-Петербурга по предоставлению государственной услуги по принятию решений о предоставлении земельных участков, находящихся в государственной собственности Санкт-Петербурга, и земельных участков, расположенных на территории Санкт-Петербурга, государственная собственность на которые не разграничена, находящихся в постоянном (бессрочном) пользовании юридических лиц, указанным юридическим лицам в собственность без проведения торгов, за исключением лиц, указанных в пункте 2 статьи 39.9 Земельного кодекса Российской Федерации"
Номер опубликования: 7801201908020001
Дата опубликования: 02.08.2019
Страница №36 из 55:
Увеличить