Распоряжение Комитета по государственному контролю, использованию и охране памятников истории и культуры Санкт-Петербурга от 08.07.2019 № 386-р
"Об установлении границ защитной зоны объекта культурного наследия регионального значения "Петроградская узловая железнодорожная больница (комплекс с территорией, парком и оградой)" на расстоянии, отличном от расстояний, предусмотренных пунктами 3 и 4 статьи 34.1 Федерального закона от 25.06.2002 № 73-ФЗ "Об объектах культурного наследия (памятниках истории и культуры) народов Российской Федерации"
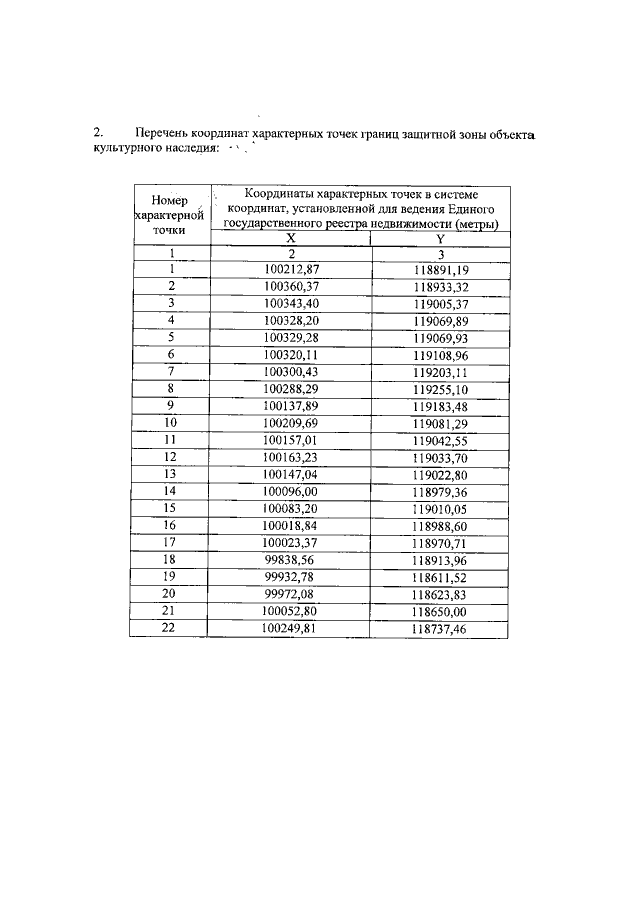
"Об установлении границ защитной зоны объекта культурного наследия регионального значения "Петроградская узловая железнодорожная больница (комплекс с территорией, парком и оградой)" на расстоянии, отличном от расстояний, предусмотренных пунктами 3 и 4 статьи 34.1 Федерального закона от 25.06.2002 № 73-ФЗ "Об объектах культурного наследия (памятниках истории и культуры) народов Российской Федерации"
Номер опубликования: 7801201907150009
Дата опубликования:
15.07.2019
