Официальное опубликование правовых актов
ОФИЦИАЛЬНОЕ ОПУБЛИКОВАНИЕ
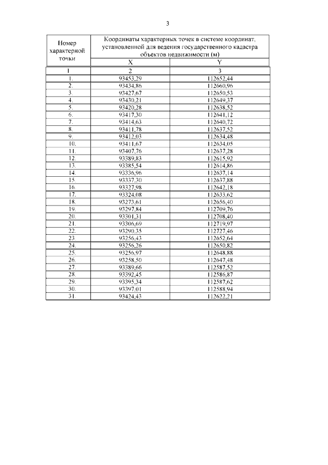
Распоряжение Комитета по государственному контролю, использованию и охране памятников истории и культуры Санкт-Петербурга от 20.06.2019 № 349-р
"Об утверждении границ и режима использования территории объекта культурного наследия регионального значения "Здание Главного Кригс-Комиссариата (Интендантские склады)"
Номер опубликования: 7801201906280009
Дата опубликования: 28.06.2019
Страница №5 из 6:
Увеличить