Официальное опубликование правовых актов
ОФИЦИАЛЬНОЕ ОПУБЛИКОВАНИЕ
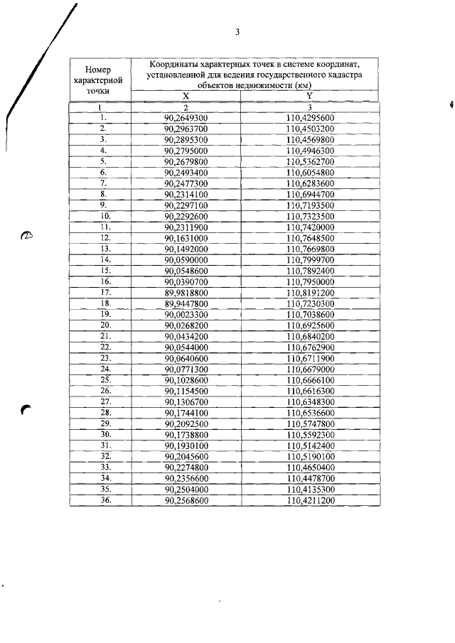
Распоряжение Комитета по государственному контролю, использованию и охране памятников истории и культуры Санкт-Петербурга от 15.11.2017 № 517-р
"О включении выявленного объекта культурного наследия в единый государственный реестр объектов культурного наследия (памятников истории и культуры) народов Российской Федерации в качестве объекта культурного наследия регионального значения "Сад Молво", об утверждении границ и режима использования территории объекта культурного наследия"
Номер опубликования: 7801201711210001
Дата опубликования: 21.11.2017
Страница №5 из 6:
Увеличить