Официальное опубликование правовых актов
ОФИЦИАЛЬНОЕ ОПУБЛИКОВАНИЕ
Постановление Правительства Санкт-Петербурга от 31.03.2026 № 200
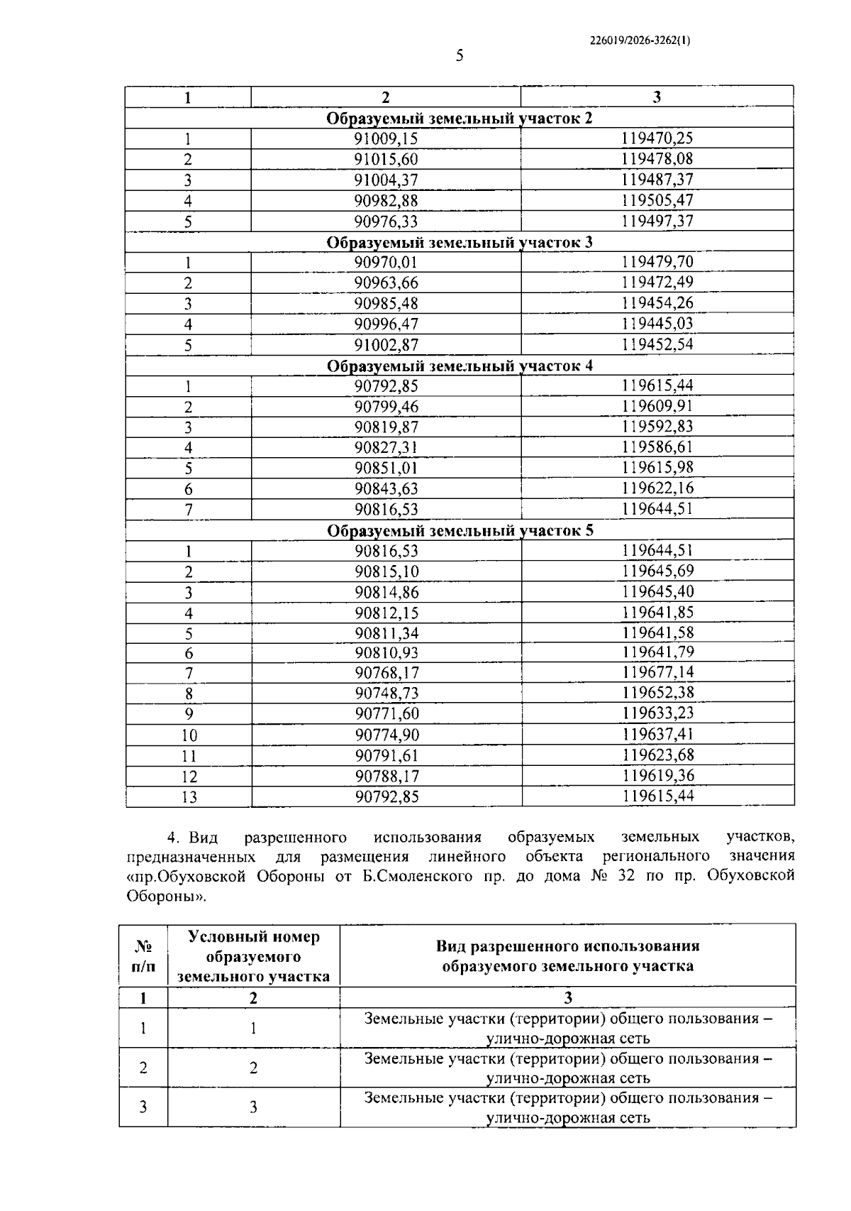
"Об утверждении проекта планировки с проектом межевания территории для размещения линейного объекта регионального значения "пр. Обуховской Обороны от Б. Смоленского пр. до дома № 32 по пр. Обуховской Обороны"
Номер опубликования: 7800202604070012
Дата опубликования: 07.04.2026
Страница №17 из 19:
Увеличить