Официальное опубликование правовых актов
ОФИЦИАЛЬНОЕ ОПУБЛИКОВАНИЕ
Постановление Правительства Санкт-Петербурга от 04.06.2025 № 393
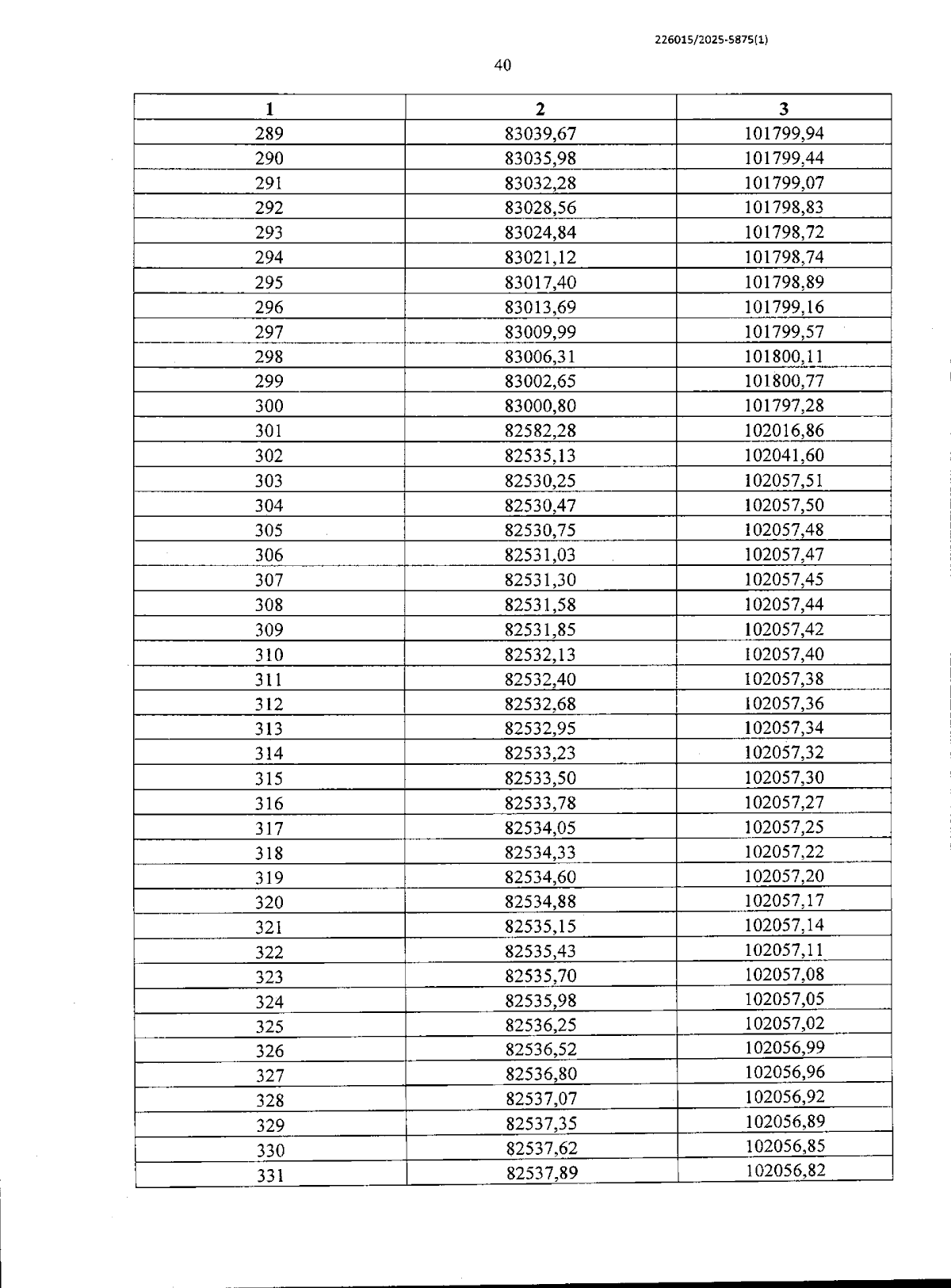
"Об утверждении проекта планировки с проектом межевания территории для размещения линейных объектов регионального значения "ул. Ивана Куликова от пр. Буденного до Новосергиевской ул.", "Новосергиевская ул. от ул. Ивана Куликова до пр. Народного Ополчения"
Номер опубликования: 7800202506110003
Дата опубликования: 11.06.2025
Страница №82 из 89:
Увеличить