Официальное опубликование правовых актов
ОФИЦИАЛЬНОЕ ОПУБЛИКОВАНИЕ
Постановление Правительства Санкт-Петербурга от 22.04.2025 № 258
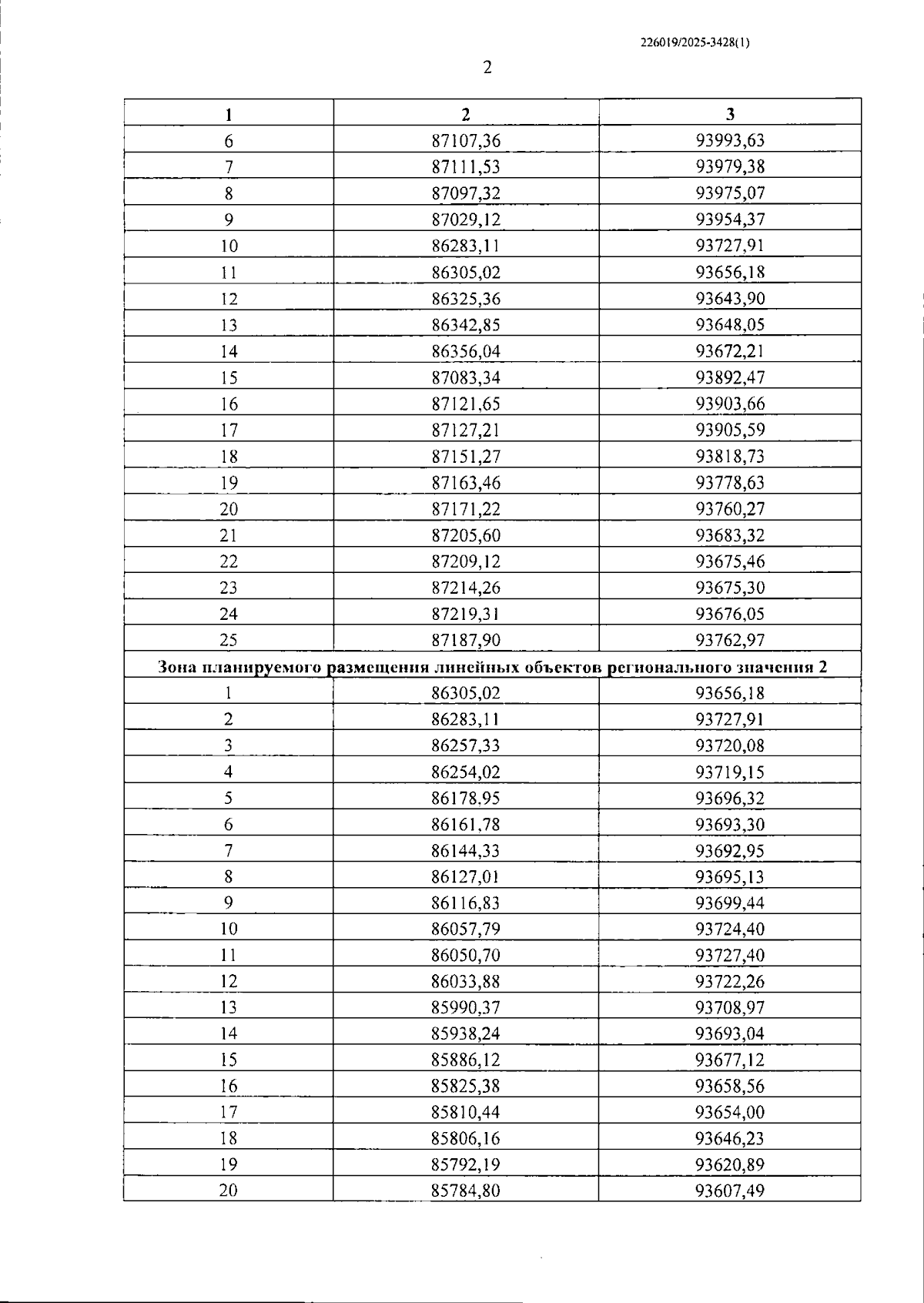
"Об утверждении проекта планировки с проектом межевания территории для размещения линейных объектов регионального значения "Ропшинское шоссе от Санкт-Петербургского шоссе до административной границы Санкт-Петербурга и путепровод через железнодорожные пути в створе Ропшинского шоссе с подходами"
Номер опубликования: 7800202504280012
Дата опубликования: 28.04.2025
Страница №21 из 94:
Увеличить