Официальное опубликование правовых актов
ОФИЦИАЛЬНОЕ ОПУБЛИКОВАНИЕ
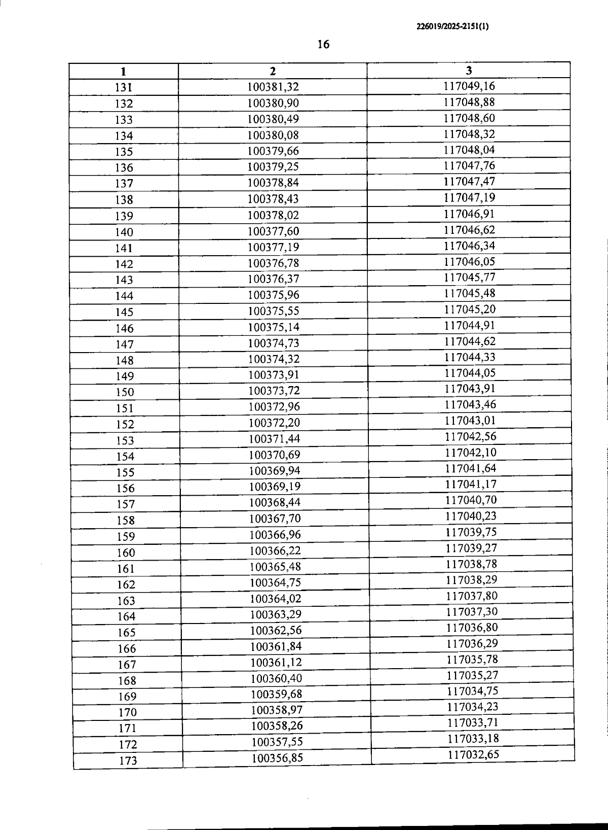
Постановление Правительства Санкт-Петербурга от 12.03.2025 № 134
"Об утверждении проекта планировки с проектом межевания территории для размещения линейных объектов регионального значения "Бестужевская ул. от Лабораторного пр. до Кушелевской дор., проезд под эстакадой Кушелевской дор. от Бестужевской ул. до Кушелевской дор."
Номер опубликования: 7800202503170002
Дата опубликования: 17.03.2025
Страница №50 из 76:
Увеличить