Официальное опубликование правовых актов
ОФИЦИАЛЬНОЕ ОПУБЛИКОВАНИЕ
Постановление Правительства Санкт-Петербурга от 21.06.2024 № 509
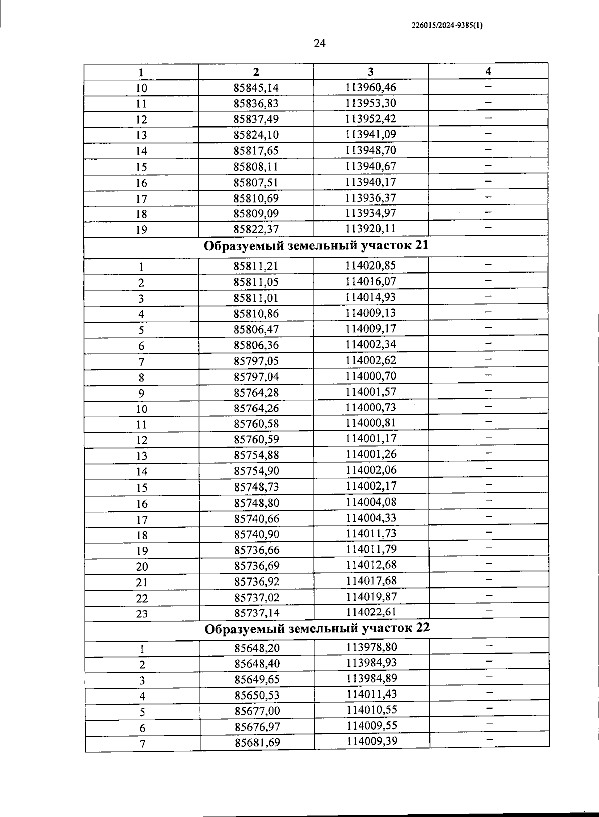
"Об утверждении проекта планировки с проектом межевания территории квартала 42-55, ограниченной Варшавской ул., ул. Победы, Московским пр., Ленинским пр., в Московском районе"
Номер опубликования: 7800202406270008
Дата опубликования: 27.06.2024
Страница №43 из 50:
Увеличить