Официальное опубликование правовых актов
ОФИЦИАЛЬНОЕ ОПУБЛИКОВАНИЕ
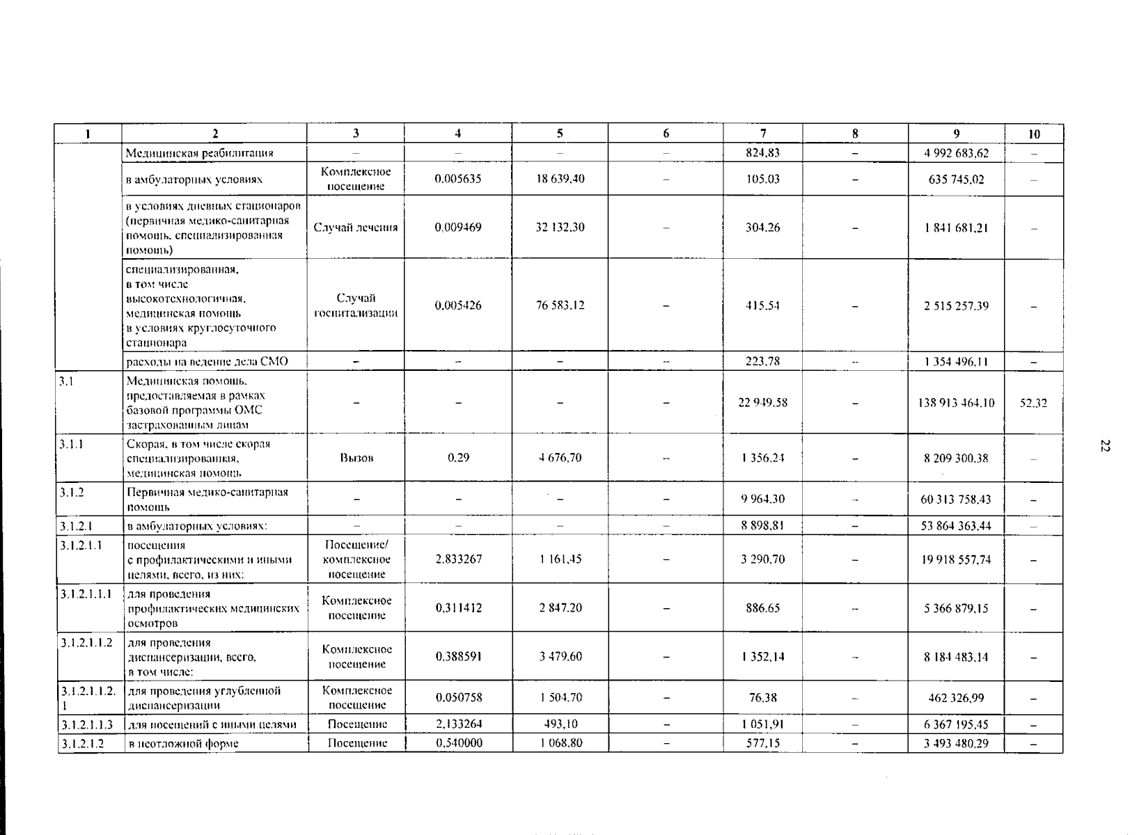
Закон Санкт-Петербурга от 21.12.2023 № 802-170
"О Территориальной программе государственных гарантий бесплатного оказания гражданам медицинской помощи в Санкт-Петербурге на 2024 год и на плановый период 2025 и 2026 годов (принят Законодательным Собранием Санкт-Петербурга 21.12.2023, подписан Губернатором Санкт-Петербурга 26.12.2023)"
Номер опубликования: 7800202312290012
Дата опубликования: 29.12.2023
Страница №126 из 148:
Увеличить