Официальное опубликование правовых актов
ОФИЦИАЛЬНОЕ ОПУБЛИКОВАНИЕ
Постановление Правительства Санкт-Петербурга от 21.12.2023 № 1390
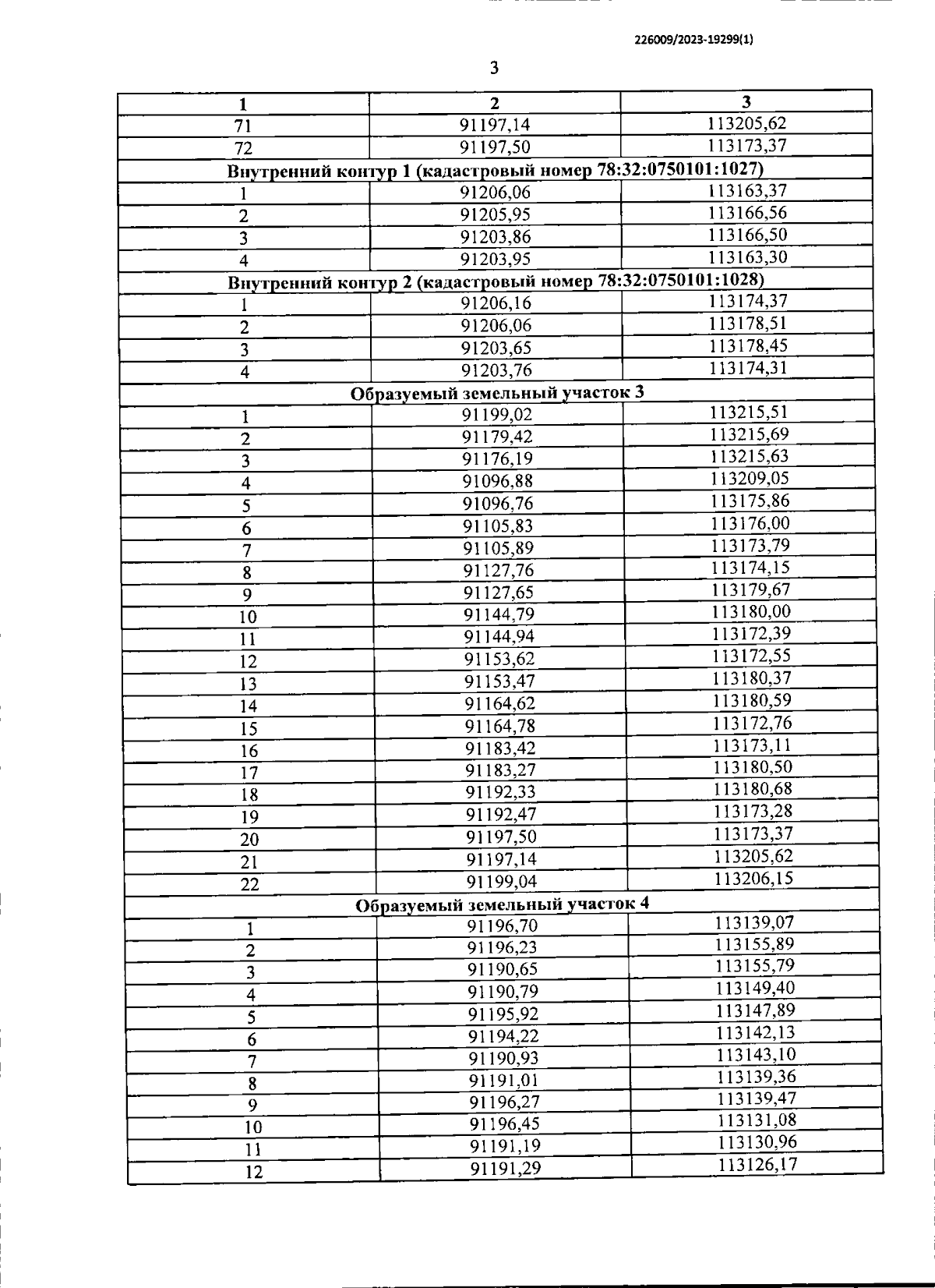
"Об утверждении проекта планировки с проектом межевания территории для размещения линейного объекта регионального значения "Кировско-Выборгская линия метрополитена. Вестибюль №2 станции "Балтийская" с наклонным ходом", расположенного в границах исторического поселения федерального значения город Санкт-Петербург"
Номер опубликования: 7800202312290011
Дата опубликования: 29.12.2023
Страница №27 из 31:
Увеличить