Официальное опубликование правовых актов
ОФИЦИАЛЬНОЕ ОПУБЛИКОВАНИЕ
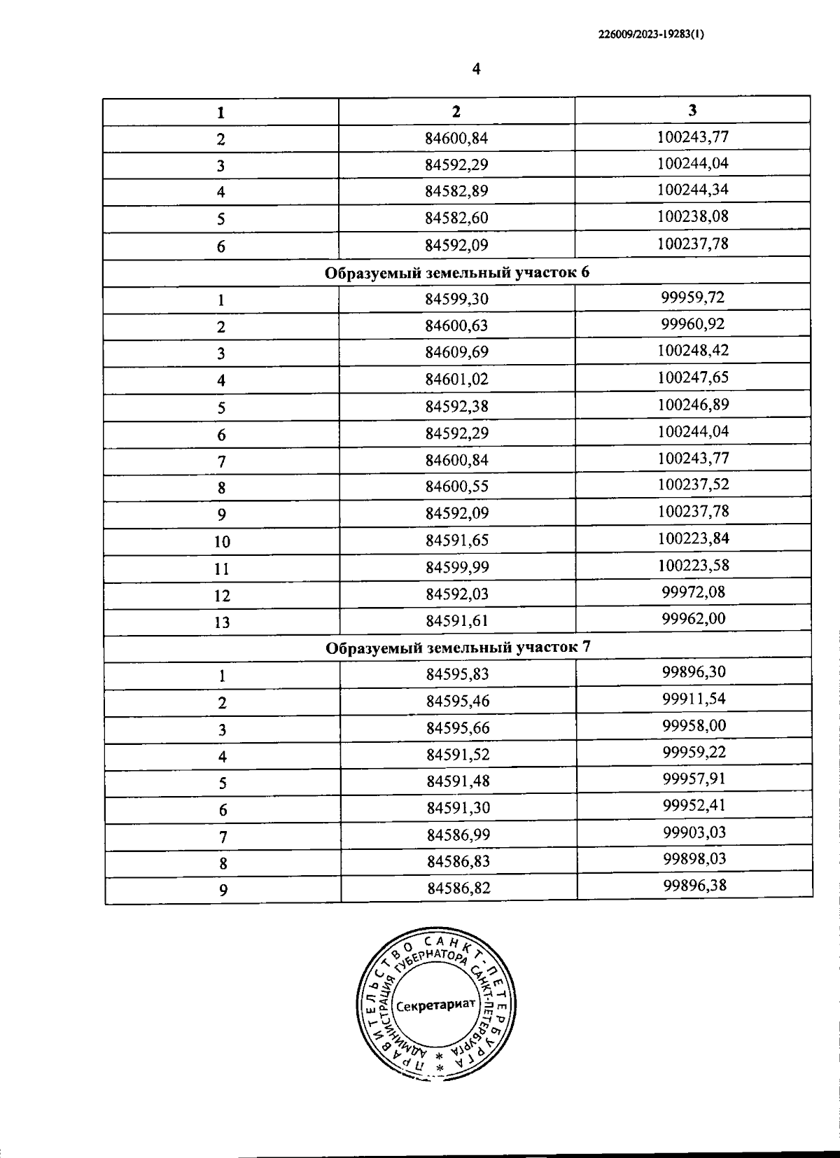
Постановление Правительства Санкт-Петербурга от 21.12.2023 № 1392
"Об утверждении проекта планировки с проектом межевания территории для размещения линейного объекта регионального значения "Автомобильная дорога от Красносельского шоссе вдоль жилого комплекса, расположенного по адресу: Санкт-Петербург, пос.Стрельна, Красносельское шоссе, участок 46"
Номер опубликования: 7800202312290009
Дата опубликования: 29.12.2023
Страница №20 из 20:
Увеличить