Официальное опубликование правовых актов
ОФИЦИАЛЬНОЕ ОПУБЛИКОВАНИЕ
Постановление Правительства Санкт-Петербурга от 06.12.2023 № 1278
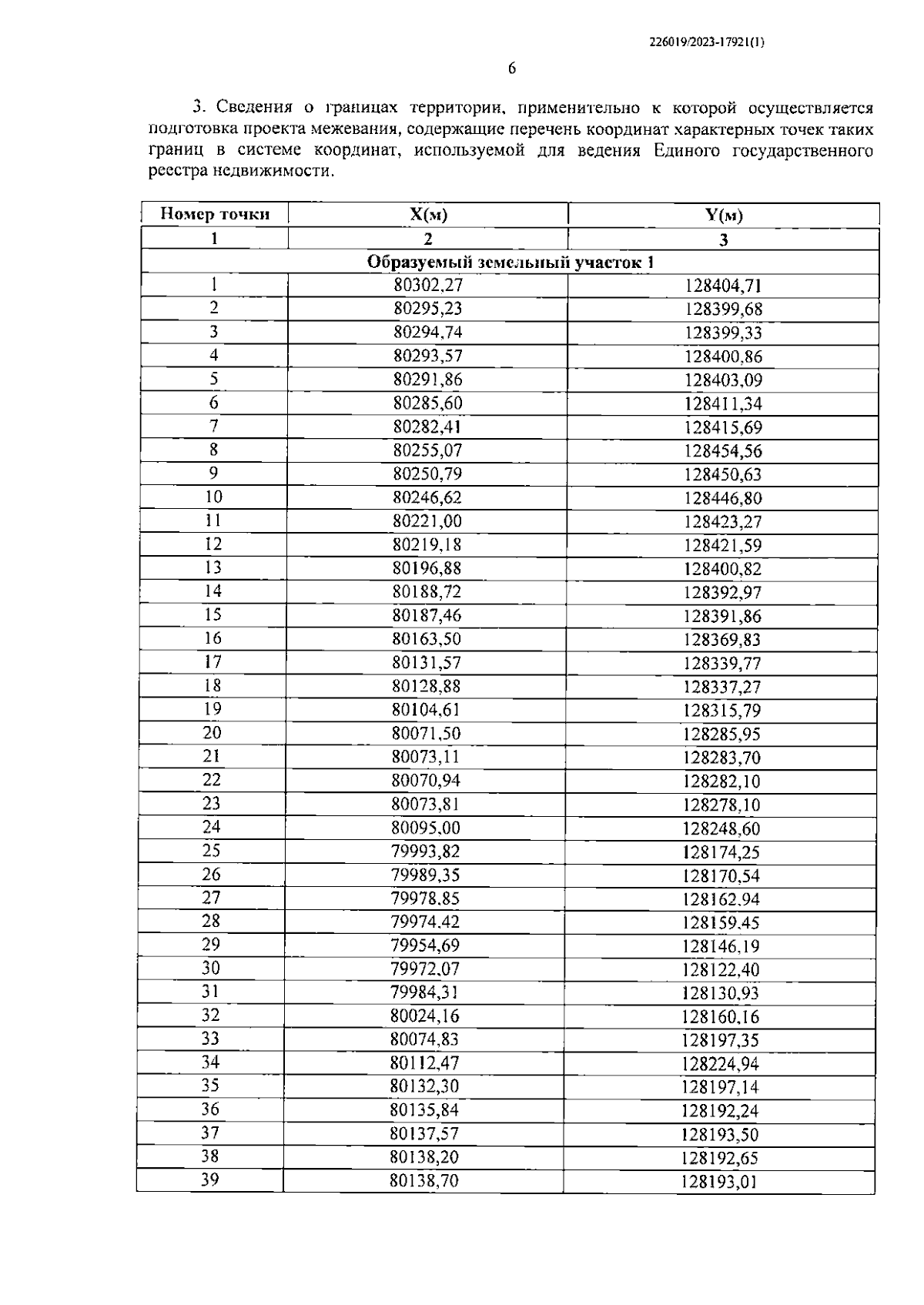
"Об утверждении проекта планировки с проектом межевания территории для размещения линейного объекта регионального значения "Центральная ул. в пос.Металлострой"
Номер опубликования: 7800202312110014
Дата опубликования: 11.12.2023
Страница №36 из 39:
Увеличить