Официальное опубликование правовых актов
ОФИЦИАЛЬНОЕ ОПУБЛИКОВАНИЕ
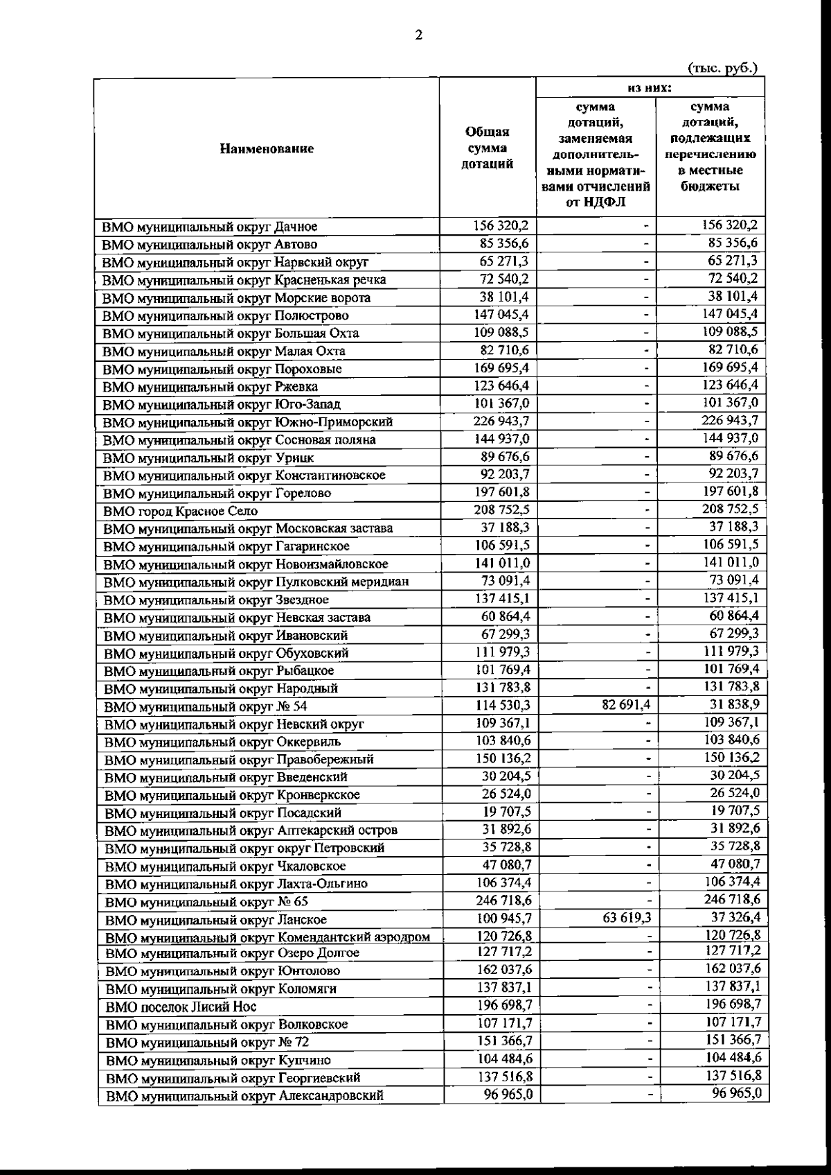
Закон Санкт-Петербурга от 29.11.2023 № 714-144
"О бюджете Санкт-Петербурга на 2024 год и на плановый период 2025 и 2026 годов"
Номер опубликования: 7800202312010001
Дата опубликования: 01.12.2023
Страница №1219 из 1272:
Увеличить