Официальное опубликование правовых актов
ОФИЦИАЛЬНОЕ ОПУБЛИКОВАНИЕ
Постановление Правительства Санкт-Петербурга от 16.11.2023 № 1217
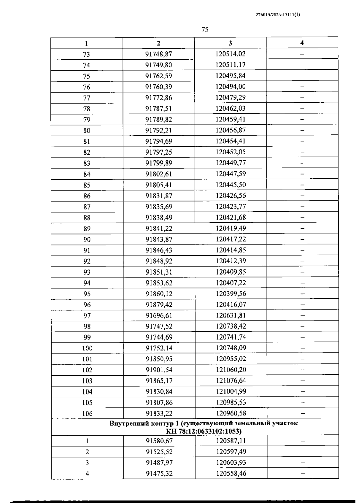
"Об утверждении проекта планировки с проектом межевания территории для размещения линейного объекта регионального значения "Мост через р.Неву в створе Б.Смоленского пр. - ул.Коллонтай с подходами"
Номер опубликования: 7800202311210004
Дата опубликования: 21.11.2023
Страница №125 из 160:
Увеличить