Официальное опубликование правовых актов
ОФИЦИАЛЬНОЕ ОПУБЛИКОВАНИЕ
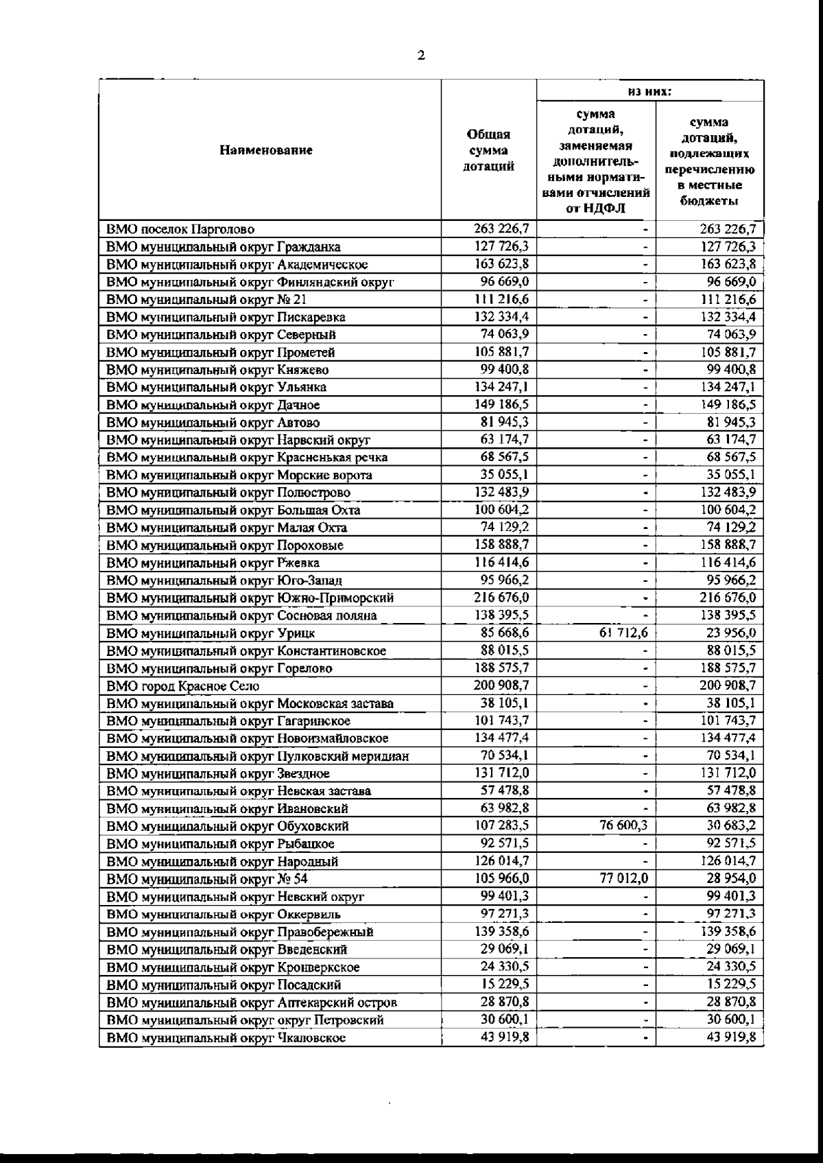
Закон Санкт-Петербурга от 08.11.2023 № 634-129
"О внесении изменений в Закон Санкт-Петербурга "О бюджете Санкт-Петербурга на 2023 год и на плановый период 2024 и 2025 годов" (принят Законодательным Собранием Санкт-Петербурга 08.11.2023, подписан Губернатором Санкт-Петербурга 13.11.2023)"
Номер опубликования: 7800202311140006
Дата опубликования: 14.11.2023
Страница №1175 из 1228:
Увеличить