Официальное опубликование правовых актов
ОФИЦИАЛЬНОЕ ОПУБЛИКОВАНИЕ
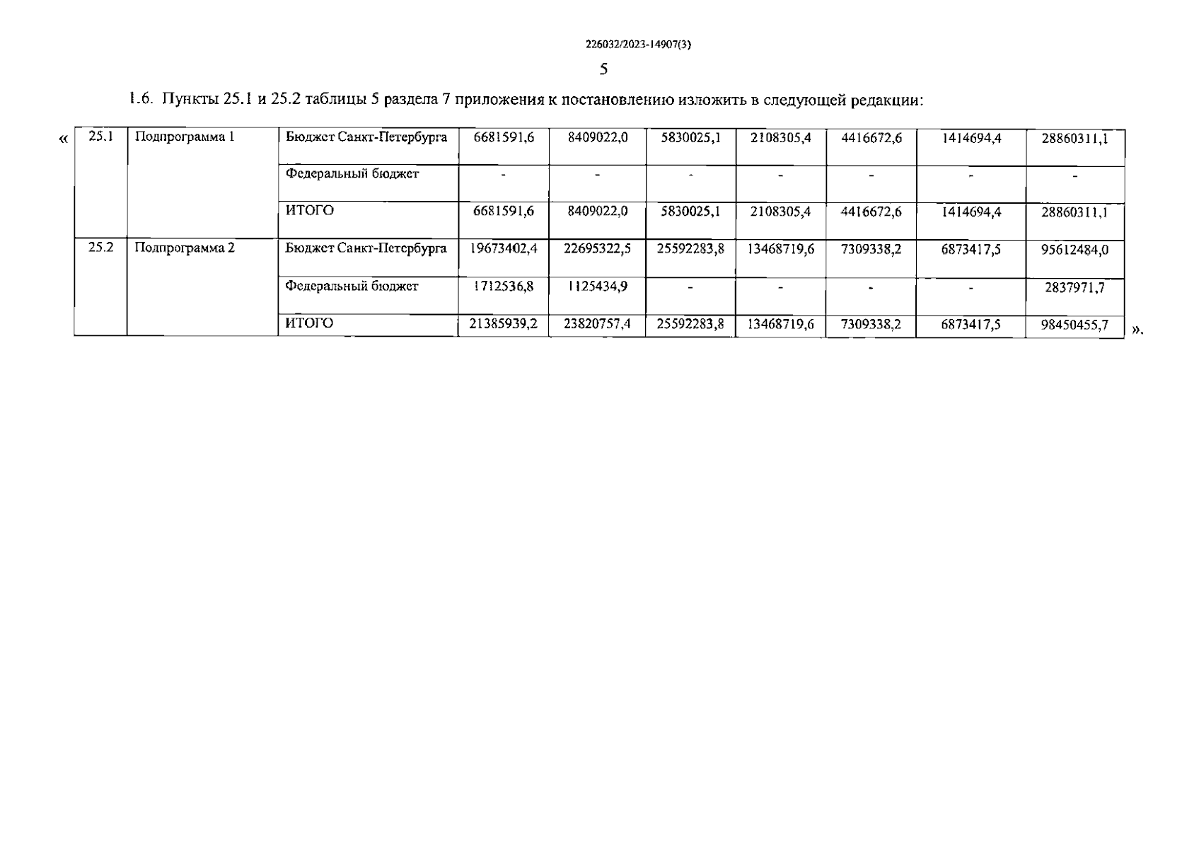
Постановление Правительства Санкт-Петербурга от 17.10.2023 № 1083
"О внесении изменений в постановление Правительства Санкт-Петербурга от 04.06.2014 № 453"
Номер опубликования: 7800202310240002
Дата опубликования: 24.10.2023
Страница №5 из 10:
Увеличить