Официальное опубликование правовых актов
ОФИЦИАЛЬНОЕ ОПУБЛИКОВАНИЕ
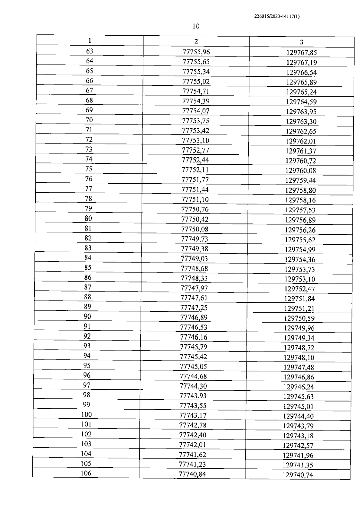
Постановление Правительства Санкт-Петербурга от 29.09.2023 № 1017
"Об утверждении проекта планировки с проектом межевания территории для размещения линейного объекта регионального значения "ул. Василия Кудрявцева от Загородной ул., до Колпинской ул."
Номер опубликования: 7800202310130014
Дата опубликования: 13.10.2023
Страница №25 из 30:
Увеличить