Официальное опубликование правовых актов
ОФИЦИАЛЬНОЕ ОПУБЛИКОВАНИЕ
Постановление Правительства Санкт-Петербурга от 29.09.2023 № 1022
"О внесении изменений в постановление Правительства Санкт-Петербурга от 25.12.2007 № 1710"
Номер опубликования: 7800202310130013
Дата опубликования: 13.10.2023
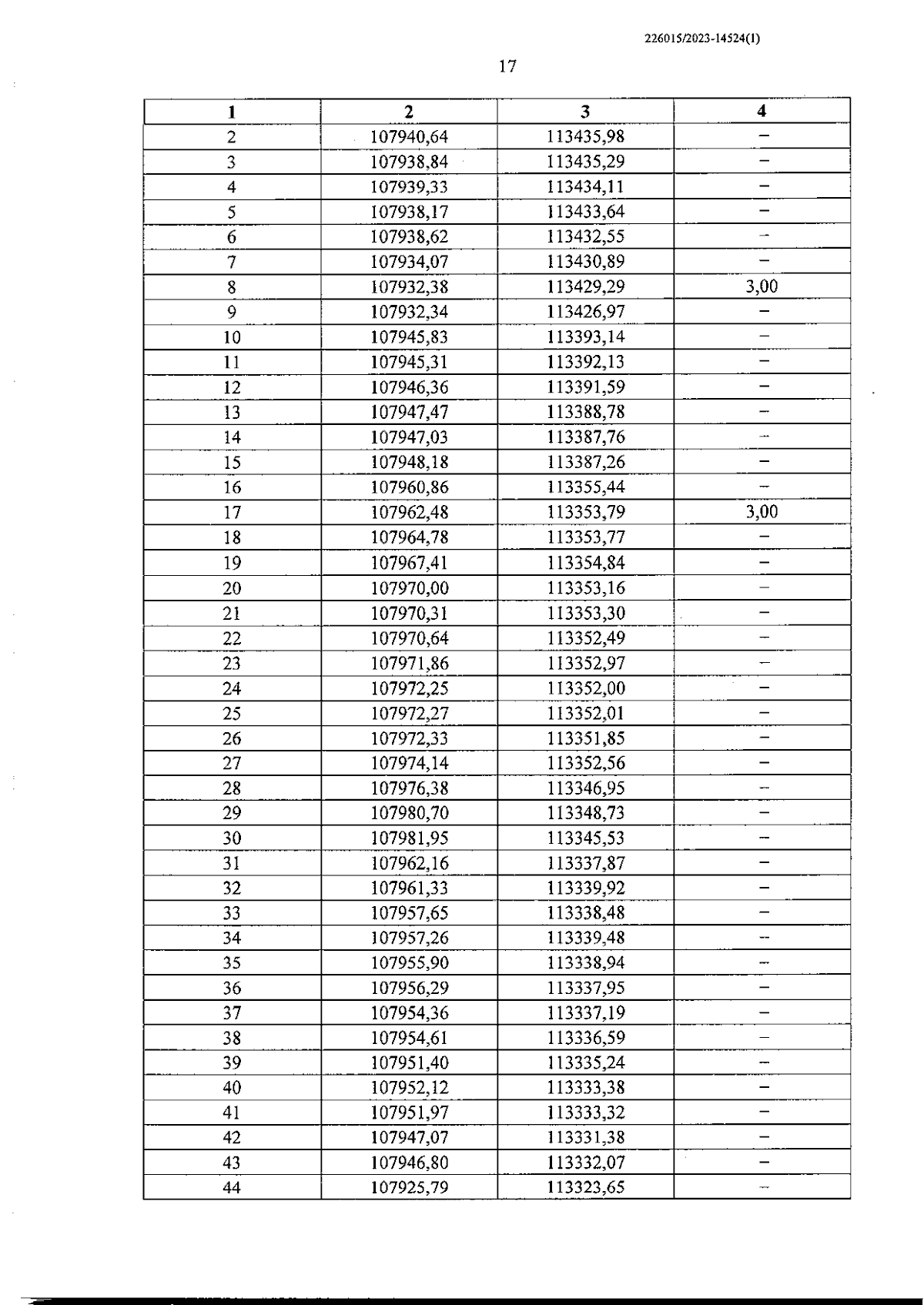
Страница №35 из 75:
Увеличить