Официальное опубликование правовых актов
ОФИЦИАЛЬНОЕ ОПУБЛИКОВАНИЕ
Постановление Правительства Санкт-Петербурга от 29.09.2023 № 1030
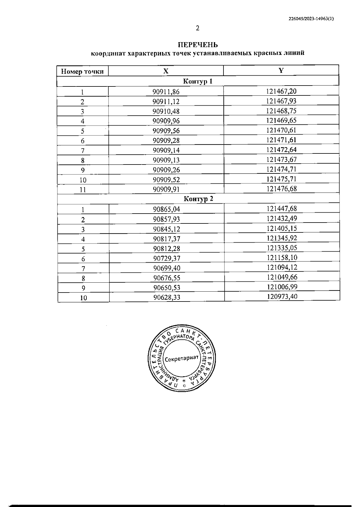
"Об утверждении проекта планировки с проектом межевания территории для размещения линейного объекта регионального значения "Архивная ул. от Дальневосточного пр. до Октябрьской наб."
Номер опубликования: 7800202310130009
Дата опубликования: 13.10.2023
Страница №4 из 24:
Увеличить