Официальное опубликование правовых актов
ОФИЦИАЛЬНОЕ ОПУБЛИКОВАНИЕ
Постановление Правительства Санкт-Петербурга от 09.10.2023 № 1050
"О внесении изменений в постановление Правительства Санкт-Петербурга от 15.12.2022 № 1228"
Номер опубликования: 7800202310130001
Дата опубликования: 13.10.2023
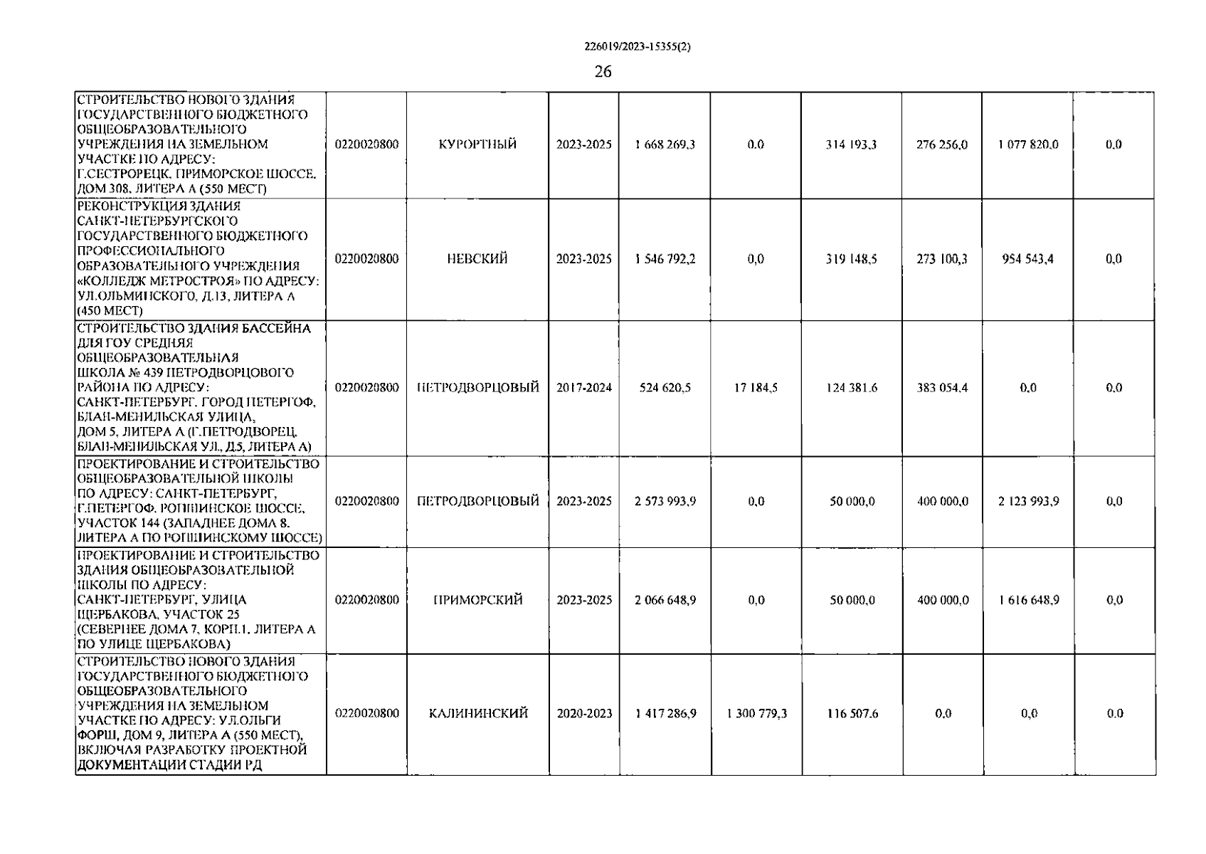
Страница №26 из 63:
Увеличить