Официальное опубликование правовых актов
ОФИЦИАЛЬНОЕ ОПУБЛИКОВАНИЕ
Постановление Правительства Санкт-Петербурга от 03.08.2023 № 807
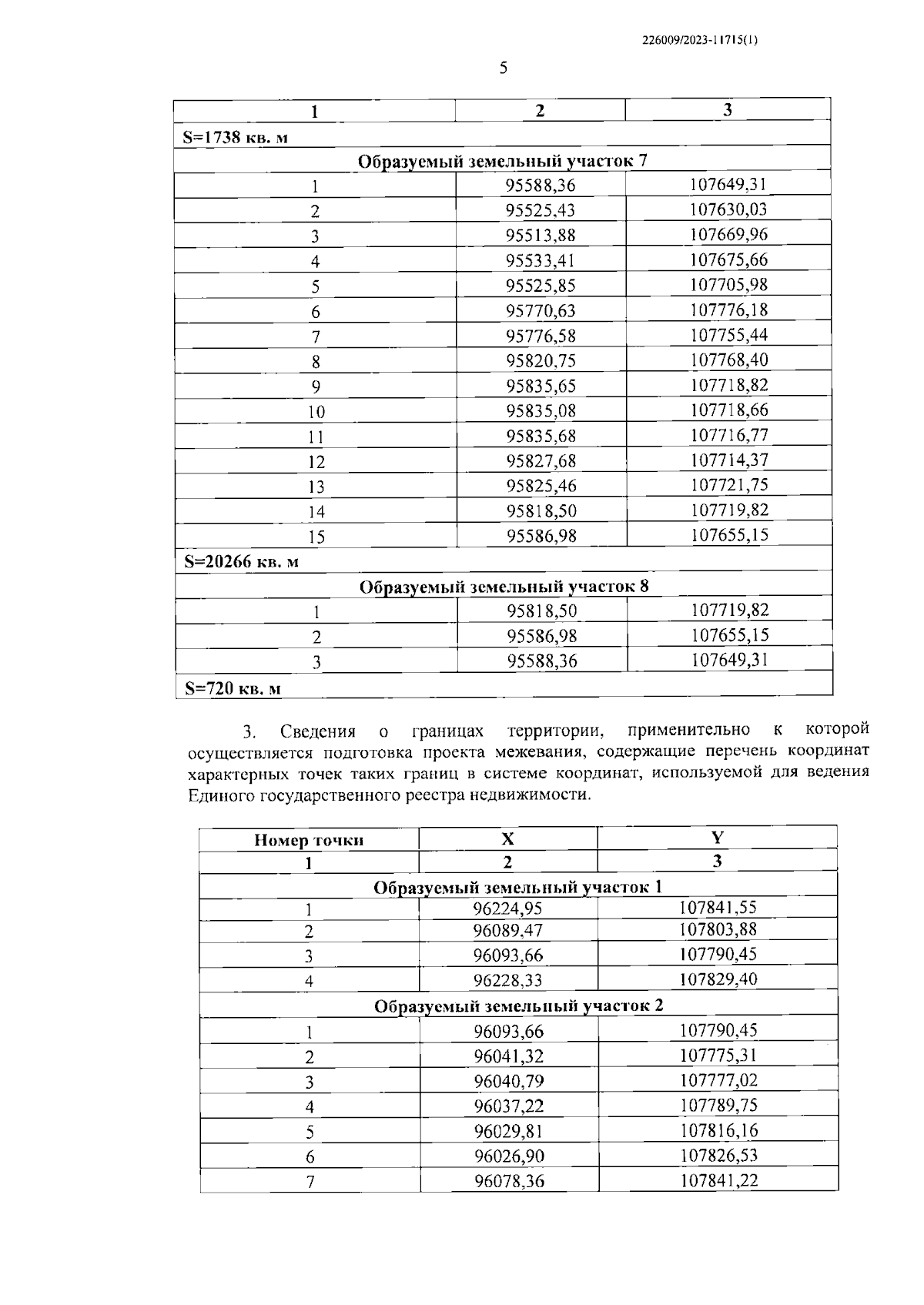
"Об утверждении проекта планировки с проектом межевания территории для размещения линейного объекта регионального значения "Морская наб. от Мичманской ул. до Флагманской ул."
Номер опубликования: 7800202308100002
Дата опубликования: 10.08.2023
Страница №18 из 23:
Увеличить