Официальное опубликование правовых актов
ОФИЦИАЛЬНОЕ ОПУБЛИКОВАНИЕ
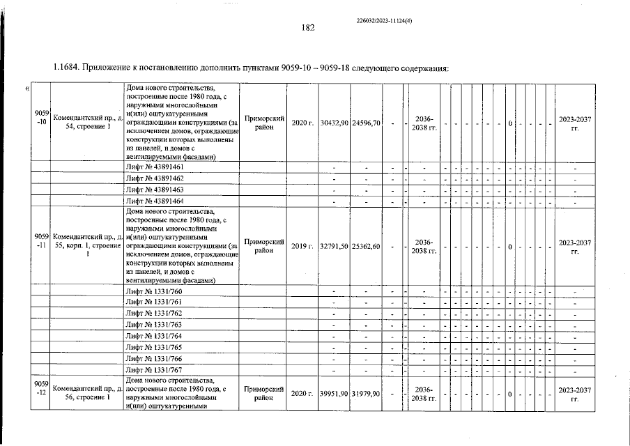
Постановление Правительства Санкт-Петербурга от 31.07.2023 № 790
"О внесении изменений в постановление Правительства Санкт-Петербурга от 18.02.2014 № 84"
Номер опубликования: 7800202308070001
Дата опубликования: 07.08.2023
Страница №182 из 280:
Увеличить