Официальное опубликование правовых актов
ОФИЦИАЛЬНОЕ ОПУБЛИКОВАНИЕ
Постановление Правительства Санкт-Петербурга от 25.07.2023 № 776
"Об утверждении проекта планировки с проектом межевания территории для размещения линейного объекта регионального значения "Проектируемая улица № 1 от пр.Будённого до ручья Стрелка и трамвайная линия"
Номер опубликования: 7800202307280002
Дата опубликования: 28.07.2023
Страница №23 из 31:
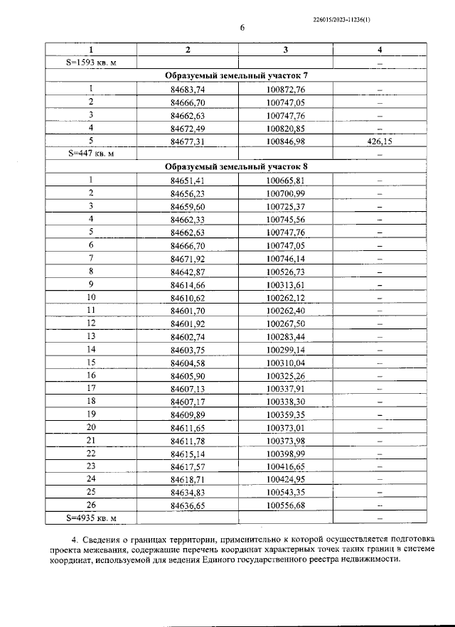
Увеличить