Официальное опубликование правовых актов
ОФИЦИАЛЬНОЕ ОПУБЛИКОВАНИЕ
Постановление Правительства Санкт-Петербурга от 18.07.2023 № 756
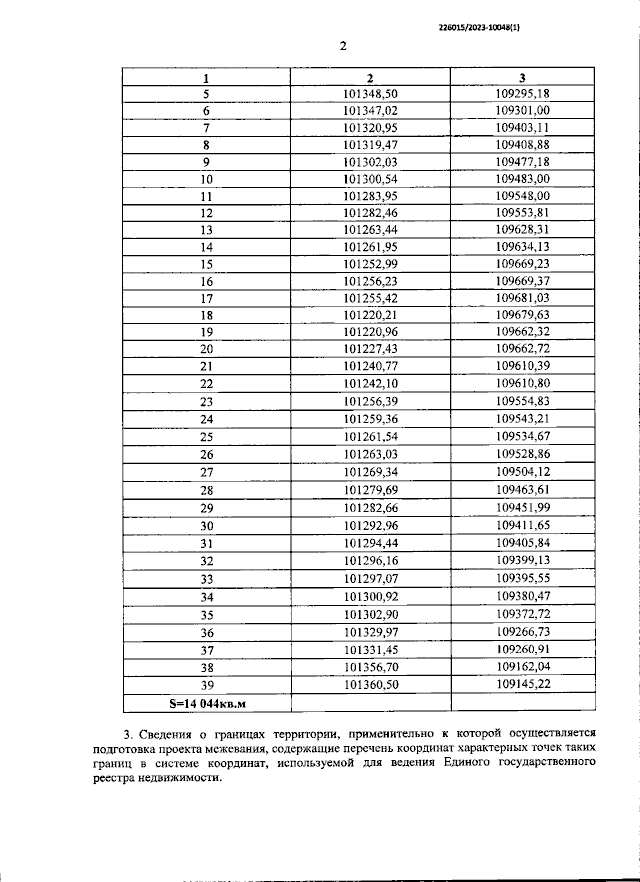
"Об утверждении проекта планировки с проектом межевания территории для размещения линейного объекта регионального значения "Ситцевая ул. от Стародеревенской ул. до Планерной ул."
Номер опубликования: 7800202307210004
Дата опубликования: 21.07.2023
Страница №12 из 15:
Увеличить