Официальное опубликование правовых актов
ОФИЦИАЛЬНОЕ ОПУБЛИКОВАНИЕ
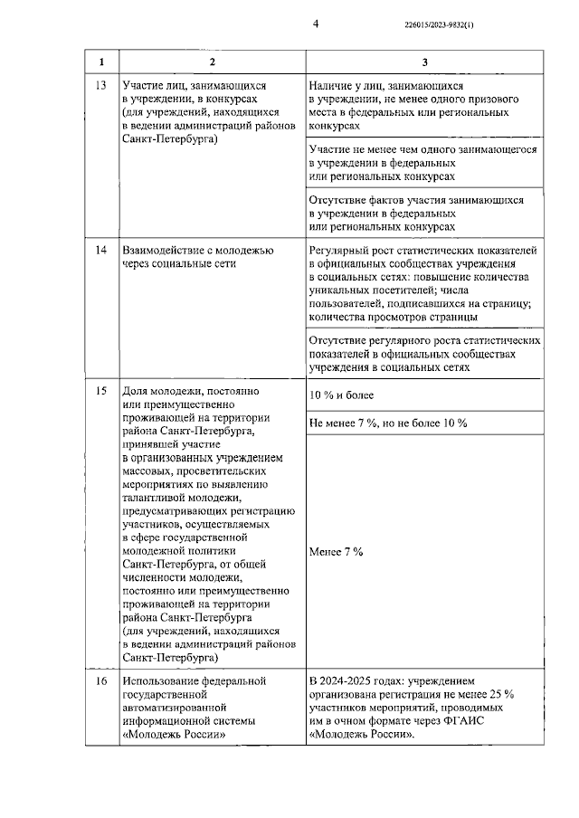
Постановление Правительства Санкт-Петербурга от 29.06.2023 № 650
"О показателях и критериях оценки эффективности труда работников государственных учреждений по делам молодежи Санкт-Петербурга"
Номер опубликования: 7800202306300001
Дата опубликования: 30.06.2023
Страница №6 из 17:
Увеличить