Официальное опубликование правовых актов
ОФИЦИАЛЬНОЕ ОПУБЛИКОВАНИЕ
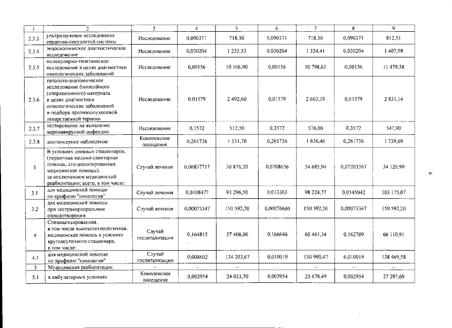
Закон Санкт-Петербурга от 21.06.2023 № 372-68
"О внесении изменений в Закон Санкт-Петербурга "О Территориальной программе государственных гарантий бесплатного оказания гражданам медицинской помощи в Санкт-Петербурге на 2023 год и на плановый период 2024 и 2025 годов" (принят Законодательным Собранием Санкт-Петербурга 21.06.2023, подписан Губернатором Санкт-Петербурга 23.06.2023)"
Номер опубликования: 7800202306260010
Дата опубликования: 26.06.2023
Страница №6 из 50:
Увеличить