Официальное опубликование правовых актов
ОФИЦИАЛЬНОЕ ОПУБЛИКОВАНИЕ
Постановление Правительства Санкт-Петербурга от 09.06.2023 № 581
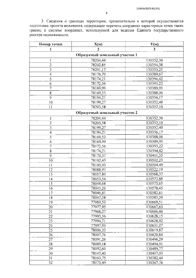
"Об утверждении проекта планировки с проектом межевания территории для размещения линейного объекта регионального значения "ул.Варвары Петровой"
Номер опубликования: 7800202306150002
Дата опубликования: 15.06.2023
Страница №19 из 20:
Увеличить