Официальное опубликование правовых актов
ОФИЦИАЛЬНОЕ ОПУБЛИКОВАНИЕ
Постановление Правительства Санкт-Петербурга от 09.06.2023 № 582
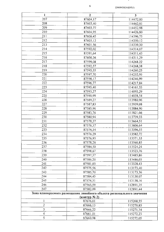
"Об утверждении проекта планировки с проектом межевания территории для размещения линейного объекта регионального значения "Тоннельный канализационный коллектор по Благодатной ул. Интервал шахта № 4 (угол от Благодатной ул. и пр. Космонавтов) - шахта № 12 (Автовская ул., д.35)"
Номер опубликования: 7800202306150001
Дата опубликования: 15.06.2023
Страница №28 из 48:
Увеличить