Официальное опубликование правовых актов
ОФИЦИАЛЬНОЕ ОПУБЛИКОВАНИЕ
Постановление Правительства Санкт-Петербурга от 23.05.2023 № 477
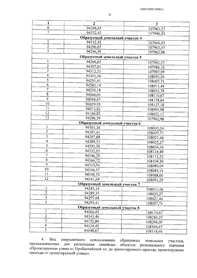
"Об утверждении проекта планировки с проектом межевания территории для размещения линейных объектов регионального значения "Проектируемая улица от Прибалтийской пл. до проектируемого проезда, проектируемые проезды от проектируемой улицы"
Номер опубликования: 7800202305300008
Дата опубликования: 30.05.2023
Страница №18 из 20:
Увеличить