Официальное опубликование правовых актов
ОФИЦИАЛЬНОЕ ОПУБЛИКОВАНИЕ
Постановление Правительства Санкт-Петербурга от 23.05.2023 № 474
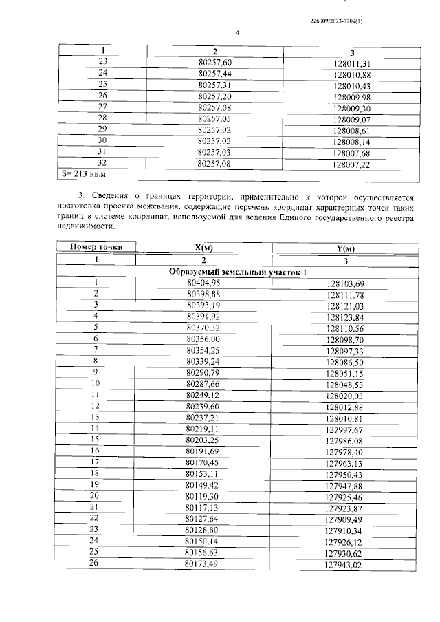
"Об утверждении проекта планировки с проектом межевания территории для размещения линейного объекта регионального значения "Школьная ул. в пос.Металлострой"
Номер опубликования: 7800202305300001
Дата опубликования: 30.05.2023
Страница №18 из 20:
Увеличить