Официальное опубликование правовых актов
ОФИЦИАЛЬНОЕ ОПУБЛИКОВАНИЕ
Постановление Правительства Санкт-Петербурга от 04.05.2023 № 404
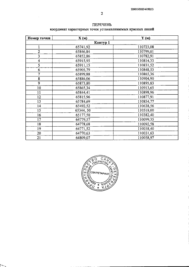
"Об утверждении проекта планировки с проектом межевания территории для размещения линейного объекта регионального значения "Улица №4 от транспортной развязки Киевского шоссе на Кондакопшино до административных границ Санкт-Петербурга"
Номер опубликования: 7800202305100001
Дата опубликования: 10.05.2023
Страница №4 из 17:
Увеличить