Официальное опубликование правовых актов
ОФИЦИАЛЬНОЕ ОПУБЛИКОВАНИЕ
Постановление Правительства Санкт-Петербурга от 14.04.2023 № 316
"О внесении изменений в постановление Правительства Санкт-Петербурга от 15.12.2022 № 1228"
Номер опубликования: 7800202304190004
Дата опубликования: 19.04.2023
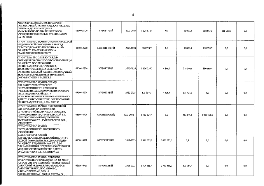
Страница №4 из 45:
Увеличить