Официальное опубликование правовых актов
ОФИЦИАЛЬНОЕ ОПУБЛИКОВАНИЕ
Постановление Правительства Санкт-Петербурга от 13.04.2023 № 305
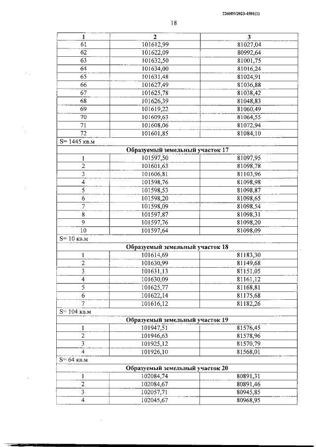
"Об утверждении проекта планировки с проектом межевания территории для размещения линейных объектов регионального значения "Цитадельское шоссе, ул.Адмирала Грейга, проектируемый проезд № 1, проектируемый проезд № 2, проектируемый проезд № 3, проектируемый проезд № 4, пешеходная улица № 1 с берегоукреплением в г.Кронштадте"
Номер опубликования: 7800202304190003
Дата опубликования: 19.04.2023
Страница №58 из 76:
Увеличить