Официальное опубликование правовых актов
ОФИЦИАЛЬНОЕ ОПУБЛИКОВАНИЕ
Постановление Правительства Санкт-Петербурга от 14.04.2023 № 313
"О внесении изменений в постановление Правительства Санкт-Петербурга от 23.06.2014 № 491"
Номер опубликования: 7800202304190002
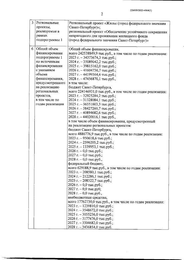
Дата опубликования: 19.04.2023
Страница №47 из 106:
Увеличить