Официальное опубликование правовых актов
ОФИЦИАЛЬНОЕ ОПУБЛИКОВАНИЕ
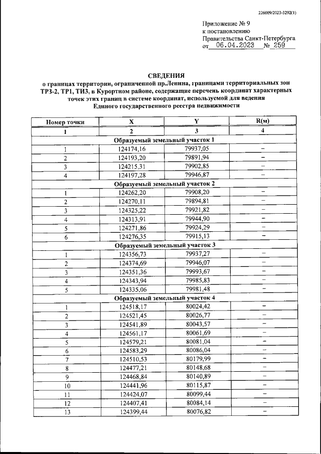
Постановление Правительства Санкт-Петербурга от 06.04.2023 № 259
"О внесении изменений в постановление Правительства Санкт-Петербурга от 30.10.2012 № 1165 и утверждении проекта межевания территории, ограниченной пр.Ленина, границами территориальных зон ТРЗ-2, ТР1, ТИЗ, в Курортном районе"
Номер опубликования: 7800202304120003
Дата опубликования: 12.04.2023
Страница №23 из 34:
Увеличить