Официальное опубликование правовых актов
ОФИЦИАЛЬНОЕ ОПУБЛИКОВАНИЕ
Закон Санкт-Петербурга от 29.03.2023 № 155-33
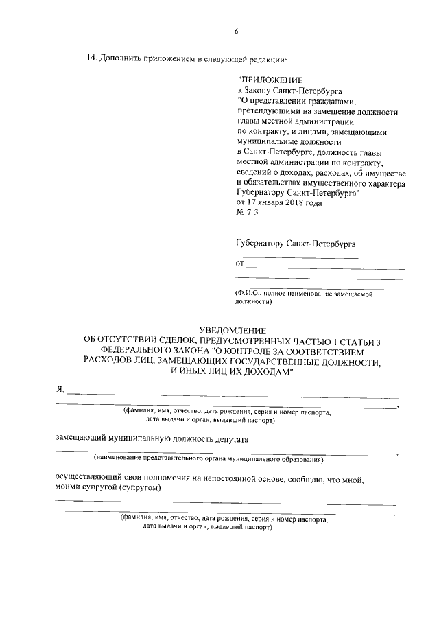
"О внесении изменений в Закон Санкт-Петербурга "Об организации местного самоуправления в Санкт-Петербурге" и Закон Санкт-Петербурга "О представлении гражданами, претендующими на замещение должности главы местной администрации по контракту, и лицами, замещающими муниципальные должности в Санкт-Петербурге, должность главы местной администрации по контракту, сведений о доходах, расходах, об имуществе и обязательствах имущественного характера Губернатору Санкт-Петербурга"
Номер опубликования: 7800202304040002
Дата опубликования: 04.04.2023
Страница №6 из 7:
Увеличить