Официальное опубликование правовых актов
ОФИЦИАЛЬНОЕ ОПУБЛИКОВАНИЕ
Постановление Правительства Санкт-Петербурга от 31.01.2023 № 54
"О внесении изменений в постановление Правительства Санкт-Петербурга от 29.06.2010 № 862"
Номер опубликования: 7800202302060003
Дата опубликования: 06.02.2023
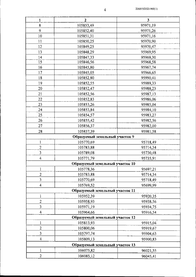
Страница №19 из 20:
Увеличить