Официальное опубликование правовых актов
ОФИЦИАЛЬНОЕ ОПУБЛИКОВАНИЕ
Постановление Правительства Санкт-Петербурга от 24.01.2023 № 40
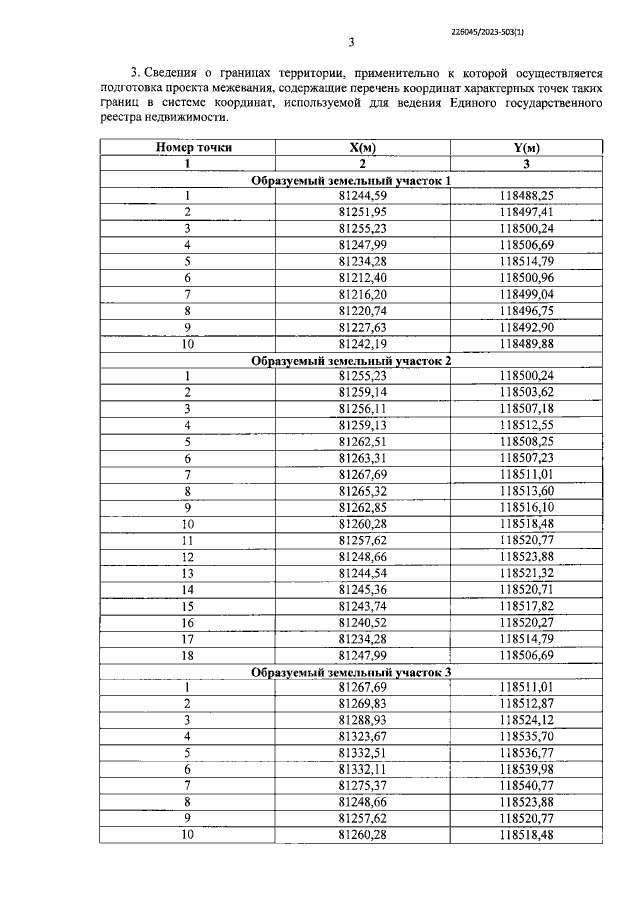
"Об утверждении проекта планировки с проектом межевания территории для размещения линейного объекта "Железнодорожный путь необщего пользования от участка 1 железнодорожной соединительной ветки "Южное полукольцо - ст. Шушары" до границ земельного участка с кадастровым номером 78:13:0007454:1"
Номер опубликования: 7800202302010004
Дата опубликования: 01.02.2023
Страница №13 из 14:
Увеличить