Официальное опубликование правовых актов
ОФИЦИАЛЬНОЕ ОПУБЛИКОВАНИЕ
Постановление Правительства Санкт-Петербурга от 20.01.2023 № 29
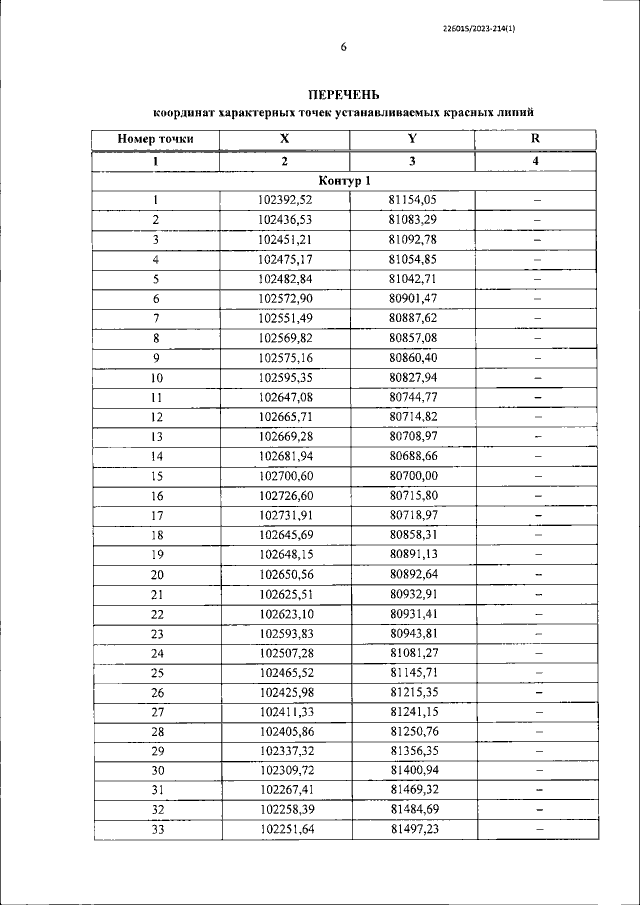
"Об утверждении проекта планировки с проектом межевания территории для размещения линейного объекта регионального значения "Кронштадтское шоссе от комплекса защитных сооружений до Цитадельской дороги"
Номер опубликования: 7800202301240003
Дата опубликования: 24.01.2023
Страница №8 из 42:
Увеличить