Официальное опубликование правовых актов
ОФИЦИАЛЬНОЕ ОПУБЛИКОВАНИЕ
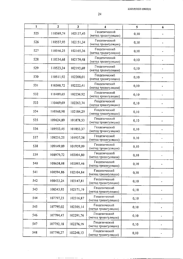
Постановление Правительства Санкт-Петербурга от 11.01.2023 № 3
"О создании государственного природного заказника регионального значения "Левашовской"
Номер опубликования: 7800202301170001
Дата опубликования: 17.01.2023
Страница №25 из 97:
Увеличить