Официальное опубликование правовых актов
ОФИЦИАЛЬНОЕ ОПУБЛИКОВАНИЕ
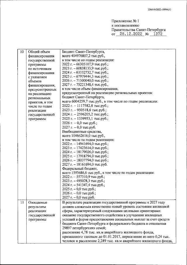
Постановление Правительства Санкт-Петербурга от 28.12.2022 № 1372
"О внесении изменений в постановление Правительства Санкт-Петербурга от 23.06.2014 № 491"
Номер опубликования: 7800202301020001
Дата опубликования: 02.01.2023
Страница №5 из 81:
Увеличить