Официальное опубликование правовых актов
ОФИЦИАЛЬНОЕ ОПУБЛИКОВАНИЕ
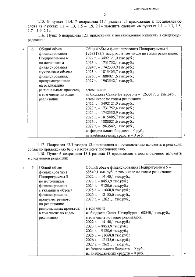
Постановление Правительства Санкт-Петербурга от 23.12.2022 № 1287
"О внесении изменений в постановление Правительства Санкт-Петербурга от 04.06.2014 № 452"
Номер опубликования: 7800202212290003
Дата опубликования: 29.12.2022
Страница №5 из 65:
Увеличить